..

Research

AGORA Project: Galaxy Simulation Codes Comparison

Working with Ji-hoon Kim, Santi Roca-Fàbrega, Joel R. Primack, and the AGORA Collaboration

Formation of star clusters with a hydrodynamic+Direct-Nbody code

Working with Yongseok Jo, Greg L. Bryan, Eunwoo Jung

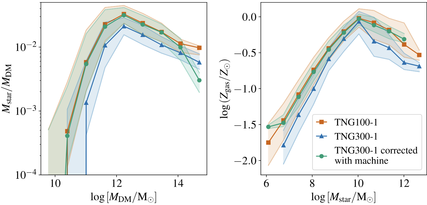
Galaxy-by-galaxy Resolution Study and the Machine Learning-based Correction

Machine learning-based correction figure